Объект: IRelay

Библиотека: Electronics

Имя на уровне решателя: IRelay

Аннотация: Реле по току нормально разомкнутое

Обозначение: Реле по току нормально разомкнутое

Порты (степени свободы) компонента:

Обозначение порта

Тип

Наименование порта

1

Port1

base.DOF1

Электрический порт 1 положительного вывода замыкающей цепи

2

Port2

base.DOF1

Электрический порт 2 отрицательного вывода замыкающей цепи

3

Port3

base.DOF1

Электрический порт 1 замыкаемой цепи

4

Port4

base.DOF1

Электрический порт 2 замыкаемой цепи

Пользовательские параметры модели

Параметр

Тип

Описание

Значение по умолч.

1

Goff

base.real

Проводимость разомкнутого ключа, 1/Ом

1e-6

2

Imax

base.real

Ток отключения, А

1

3

Ron

base.real

Сопротивление замкнутого ключа, Ом

1e-6

4

S0

string

Начальное состояние [on, off]

off

5

dt

base.real

Время переключения, с

1e-3

Результаты тестирования
../../../../_images/logo_ru_no_text.png

www.laduga.com

Глава 1. Заданные параметры теста

Название тестируемого компонента

IRelay

Модуль тестируемого компонента

Electronics

Дата тестирования

Tue Mar 3 19:31:58 2026

Результат

OK

Глава 2. Схема тестируемого объекта

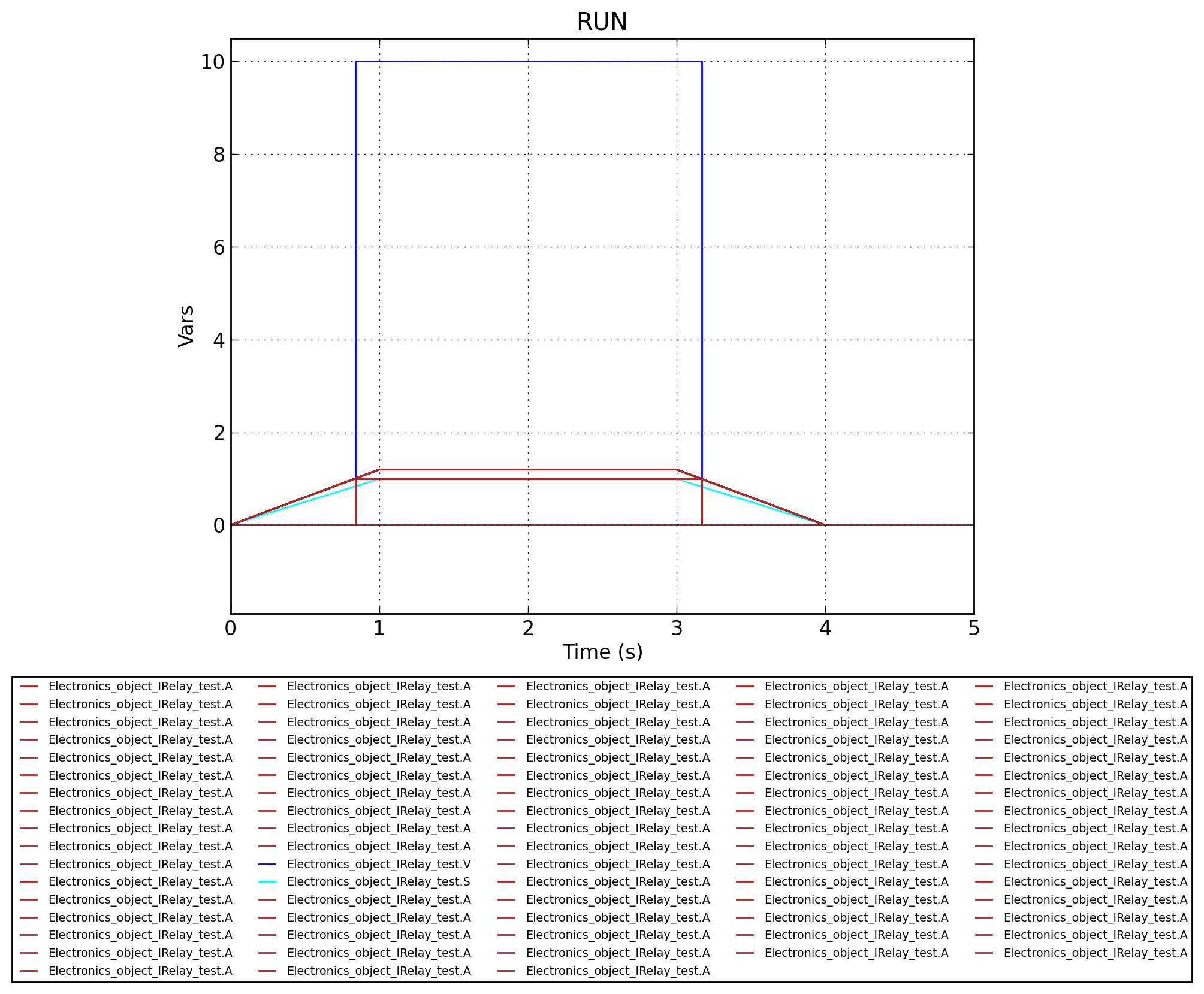
Управляемое реле IRelay. Проверка токовой коммутации.

Описание устройства

IRelay — это управляемое токовое реле, коммутация которого зависит от величины тока, протекающего в цепи управления. Данный тип реле используется в схемах защиты, автоматики и управления, где требуется отслеживание пороговых значений тока.

Структура схемы

Схема состоит из двух гальванически развязанных цепей: управления и силовой части.

Цепь управления:

  • Управляемый источник тока (IVV1) — формирует ток в цепи управления с коэффициентом преобразования K = 1.2 (связь между входным напряжением и выходным током).

  • Амперметр As — измеряет ток, протекающий через управляющую обмотку реле.

  • Источник трапециевидного сигнала (TrapeziumSource1) — формирует управляющее воздействие заданной формы.

  • Датчик напряжения S1 — контролирует входной сигнал.

  • Амперметр Agr — контролирует токи утечки на землю (паразитные связи).

Силовая часть:

  • Источник ЭДС E1 — питание силовой цепи (нагрузки).

  • Сопротивление R1 — нагрузка, коммутируемая контактами реле.

  • IRelay — токовое реле с нормально открытым (НО) контактом.

Принцип работы

Реле IRelay работает по следующему алгоритму:

  1. Трапециевидный сигнал от TrapeziumSource1 поступает на датчик S1 и управляет источником тока IVV1.

  2. Источник IVV1 преобразует входное напряжение в ток цепи управления с коэффициентом K = 1.2 (ток управления = входное напряжение × 1.2).

  3. Ток в цепи управления начинает нарастать — это фиксирует амперметр As.

  4. Когда ток управления достигает порогового значения 1 А, нормально открытый контакт замыкается.

  5. В силовой цепи начинает протекать ток — датчик А1 фиксирует значение, определяемое законом Ома.

  6. Когда ток в цепи управления снижается ниже 1 А, выключатель размыкается, ток в нагрузке прекращается.

Расчет ожидаемых значений

Силовая цепь (при замкнутых контактах):

\[I_{сила} = \frac{E1}{R1} = \frac{10\ \text{В}}{10\ \text{Ом}} = 1\ \text{А}\]

Цепь управления (связь вход-выход):

\[I_{упр} = K \times U_{вх} = 1.2 \times U_{вх}\]

где \(U_{вх}\) — напряжение на выходе TrapeziumSource1 (датчик S1).

Пороговые условия: * При \(I_{упр} < 1\ \text{А}\) — контакты разомкнуты, \(I_{сила} = 0\ \text{А}\) * При \(I_{упр} \geq 1\ \text{А}\) — контакты замкнуты, \(I_{сила} = 1\ \text{А}\)

Ожидаемая осциллограмма

На временной диаграмме должны наблюдаться:

  • Трапециевидный сигнал управления (S1) с линейными участками нарастания и спада.

  • Ток управления (As), пропорциональный входному сигналу с коэффициентом K = 1.2.

  • Гистерезисный характер силового тока (А1): * 0 А при токе управления < 1 А. * Скачок до 1 А в момент достижения порога 1 А. * Сохранение 1 А пока ток управления ≥ 1 А. * Сброс до 0 А при снижении тока управления ниже 1 А.

  • Отсутствие токов утечки (Agr ≈ 0 А), подтверждающее качественную гальваническую развязку.

Исходные данные

Параметры элементов схемы:

  • R1 (сопротивление нагрузки) = 10 Ом

  • E1 (напряжение силовой цепи) = 10 В

  • IVV1 (K) (коэффициент передачи источника тока) = 1.2

  • Порог срабатывания (ток управления) = 1 А

Схема теста
Схема тестирования токового реле IRelay

Рисунок 1 — Схема тестирования токового реле IRelay

Глава 3. Графики результатов теста
../../../../_images/IRelay.Current.png

Рисунок 2 - Electronics_object_IRelay.Current

../../../../_images/IRelay.RUN.png

Рисунок 3 - Electronics_object_IRelay.RUN

../../../../_images/IRelay.Check.png

Рисунок 4 - Electronics_object_IRelay.Check

../../../../_images/IRelay.Voltage.png

Рисунок 5 - Electronics_object_IRelay.Voltage